Carboxypenicillin

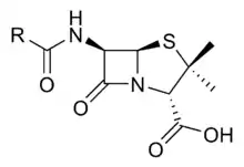
The beta-lactam backbone
The carboxypenicillins are a group of antibiotics. They belong to the penicillin family and comprise the members carbenicillin and ticarcillin.[1]
Chemical structure
The carboxypenicillins feature the beta-lactam backbone of all penicillins but also feature a carboxylic acid or carboxylic acid ester group in the variable side-chain.
Spectrum
The carboxypenicillins exhibit activity against Gram negative organisms including Pseudomonas aeruginosa and Proteus species. They are inactive against certain Gram positive pathogens such as Staphylococcus aureus, Enterococcus faecalis, and L. monocytogenes. The carboxypenicillins are beta-lactamase sensitive.
See also
References
- ↑ "Mayo Clinic Proceedings". Retrieved 2015-12-08.
This article is issued from Offline. The text is licensed under Creative Commons - Attribution - Sharealike. Additional terms may apply for the media files.

